Le parawing, prototype V4

Surface 3.5m²


Lecteurs, vos conseils / idées sont les bienvenus, n'hésitez pas à m'écrire, lien en bas de page


Le projet au 16/01/2025


!! résolution de la rotation des profils OK sur V4 !! :)


Après un deuxième essai en mer avec environ 15/20 noeuds assez régulier (pas de photos)
il s'avère que la surface de 3.5m² n'est pas suffisante avec cette force de vent, surface adaptée dans 30 noeuds?!
Il est à noter que la puissance est plutôt constante même avec un changement d'incidence de l'aile
Après essais: il semble que 35% soit plus proche du calage optimale
Reste à résoudre la déformation sur l'extrados sur dernier caisson, principal objectif de la prochaine V5
Etape suivante également, consistera sur la V4 à modifier le vrillage du bout d'aile dans un vent laminaire
les noeuds existants sont en place pour effectuer un vrillage positif ou négatif sur la plume
Après cette étape qui validera le vrillage, le proto V5 sera construit en 4.5m² ou 5m² pour des vents plus faible
changement de surface avec: coef= racine² (S souhaitée / S existante)
A partir de la photo numéro 30 = photos en vol
lien vers la vidéo


Caractéristiques de la V4 (V3-->V4)


Modification de la forme de l'aile: moins d'allongement, moins de fermeture de bout d'aile et possibilité d'utilisation en wing
Passage de 1.43m² à 3.5m² dans la section géométrie
Mise en place de profils intermédiaires plus haut pour prendre en compte la rotation des profils
Profils intermédiaires se rapprochant au plus près de la déformation constatée lors des essais
Vrillage de l'aile pour obtenir une épaisseur constante à 5° / corde, méthode calculée
Les profils effectuent donc une rotation centrée sur le nez (x=0 y=0 corde), vers le bas, pour obtenir une épaisseur constante lorsque l'aile est inclinée de 5°
Calage à 40% afin d'obtenir une plus grande stabilité sur le rang A
3d shaping avancé de 2 points vers le nez du profil, l'ancien semblait trop en arrière
Mise en place des joncs Ø2mm uniquement sur la partie avant du profil, sauf bout d'aile
Marge de couture passée de 5mm à 6mm, 20mm en BF, 10mm en BA
Augmentation des longueurs des suspentes en Y, pour eviter les déformations liées au Y trop court
Longueur "I" des freins réduite de 4cm pour obtenir un BF rectiligne et tendu (pas comme le 3d)


Note ↓ Résoudre le problème évoqué sur cette note est l'objet du prototype V4

Note rotation profil

0 ↓ Vue de dessous en vol

2024 12 25

1 ↓ Voute

2025 12 25

2 ↓ Surface à plat

2025 12 25

3 ↓ Profils court et long, notez la plus grande hauteur pour le profil court

2025 12 25

4 ↓ Mise à plat des panneaux

2025 12 25

5 ↓

2025 12 25

6 ↓

2025 12 25

7 ↓

2025 12 25

8 ↓

2025 12 25

9 ↓

2025 12 25

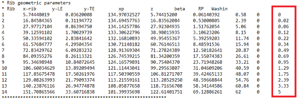
10 ↓ Géometrie de l'aile avec valeurs de vrillage

2025 12 25

11 ↓ tension de peau

2025 12 25

12 ↓ vue 3d

2025 12 25

13 ↓ vue 3d

2025 12 25

14 ↓ vue 3d

2025 12 25

15 ↓ Suspentes

2025 12 25

16 ↓

2025 12 25

17 ↓ Découpe

2025 12 27

18 ↓ Préparation des panneaux 2024 12 27

2025 12 27

20 ↓ pré-assemblage

2025 12 29

21 ↓ pré-assemblage

2025 12 29

22 ↓ Détail avant de l'aile

2025 12 29

23 ↓ Aile presque terminée

2025 12 29

24 ↓ Aile vue globale

2025 12 29

25 ↓ Vue de dessous numéro suspente

2025 12 29

26 ↓ Tableau côtes suspentes

2025 12 31

27 ↓ Pied guide couture dyneema

2025 12 31

28 ↓ Zoom mise en place suspentes

2025 12 31

29 ↓ Mise en place suspentes avec dyneema Ø1.1 gainé

Aile terminée le 31/12/2024 !

2025 12 31

30 ↓ Vol essai du 2025 01 01 de 3 à 15 noeuds

Premier essai en montagne, le résultat est bon, le problème des dents de scie est corrigé

Première impression positive, à confirmer lors des essais dans un vent plus fort régulier

2025 01 01

31 ↓ Vol du 2025 01 01

2025 01 01

32 ↓ Vol du 2025 01 01

2025 01 01

33 ↓ Vol du 2025 01 01

2025 01 01

34 ↓ Vol du 2025 01 01

2025 01 01

35 ↓ Vol du 2025 01 01

2025 01 01

36 ↓ Vol du 2025 01 01

2025 01 01

37 ↓ Vol du 2025 01 01

2025 01 01

38 ↓ Vol du 2025 01 01

2025 01 01

39 ↓ Vol du 2025 01 01

2025 01 01

40 ↓ Vol du 2025 01 01

2025 01 01

41 ↓ Vol du 2025 01 01

2025 01 01

42 ↓ Vol du 2025 01 01

2025 01 01

43 ↓ Vol du 2025 01 01

2025 01 01

44 ↓ Vol du 2025 01 01

2025 01 01

45 ↓ Vol du 2025 01 01

2025 01 01

46 ↓ Vol du 2025 01 01

2025 01 01

47 ↓ Vol du 2025 01 01

2025 01 01

48 ↓ Vol du 2025 01 01

2025 01 01

49 ↓ Vol du 2025 01 01

2025 01 01

50 ↓ Vol du 2025 01 01

2025 01 01

51 ↓ Vol du 2025 01 01

2025 01 01

52 ↓ Vol du 2025 01 01

2025 01 01

53 ↓ Vol du 2025 01 01

2025 01 01

54 ↓ Vol du 2025 01 01

2025 01 01

55 ↓ Vol du 2025 01 01

2025 01 01

56 ↓ Vol du 2025 01 01

2025 01 01

57 ↓ Vol du 2025 01 01

2025 01 01

58 ↓ Vol du 2025 01 01

2025 01 01

59 ↓ Vol du 2025 01 01

2025 01 01

60 ↓ Vol du 2025 01 01

2025 01 01

61 ↓ Vol du 2025 01 01

2025 01 01

62 ↓ Vol du 2025 01 01

2025 01 01

63 ↓ Vol du 2025 01 01

2025 01 01

64 ↓ Vol du 2025 01 01

2025 01 01

65 ↓ Vol du 2025 01 01

2025 01 01

66 ↓ Vol du 2025 01 01

2025 01 01

67 ↓ Vol du 2025 01 01

2025 01 01

68 ↓ Vol du 2025 01 01

2025 01 01

69 ↓ En mer du 2025 01 05 vent trop faible et rafaleux

Installation de l'aile facile sur un plan d'eau calme, pas de suspentes dans le foil

Semble physique à tenir dans un vent fort

2025 01 05

70 ↓ Retour sans pouvoir foiler, à tester de nouveau...

2025 01 05